Practice Page

Directions: Grab graph paper, pencil, and straight-edge.

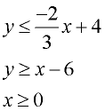
1.
Graph the system of inequalities, and label the solution area S:   
     lp3math

lppic1

 

 

2.
Find the corner points (vertices) of the system's feasible region:
     lpex4
lppic2

 

 

3.
Find the maximum value of
function z = 4x + 8y in the feasible region shown at the right.
lpex5

 

 

4.
a. Find the feasible region for the system of inequalities:
      LPNEW

lppic3
  b. Find the maximum value for function z = x + 5y in the feasible region from part a.  

 

 

5.
A skateboard company produces a wooden board and a polymer board. Surveys show that consumer demand will support the production of at least 200 wooden board and 150 polymer boards each day. Machinery limitations, however, will restrict production to no more than 300 wooden boards and 270 polymer board per day. Each wooden board yields a profit of $4, and each polymer board yields a profit of $6.

The company has a contract which requires the shipping of at least 380 boards per day. Find the number of each style of board which should be made daily to maximize the profits?

skateboard



divider

NOTE: The re-posting of materials (in part or whole) from this site to the Internet is copyright violation
and is not considered "fair use" for educators. Please read the "Terms of Use".