|
A real number is a value that represents a quantity along a continuous number line. Real numbers can be ordered. The symbol for the set of real numbers is  , which is the letter R in the typeface "blackboard bold". |
The real numbers include: counting (natural) numbers (  ){1, 2, 3, ... },
whole numbers {0, 1, 2, 3, ... },
integers (  ) {... , -3, -2, -1, 0, 1, 2, 3, ...},
rational numbers (  ) (such as -½, 6.25, ) and
irrational numbers (such as  ). |
FYI: The series of three dots ( ... ), seen within the sets above, is called an ellipsis.
As used in mathematics, the ellipsis means "and so forth". |
The properties of the Real Number System will prove useful when working with equations, functions and formulas in Algebra, as they allow for the creation of equivalent expressions which will often aid in solving problems. In addition, they can be used to help explain or justify solutions.
Don't panic!!! You already know the "mathematics" at work in this chart.
The chart just tells you the "fancy names" for these different math facts.
Most of these properties are just common sense.
The first 13 properties are the most common, and need to be known by "name".
The remaining properties, referred to as the "equality properties of numbers",
will be used to explain steps when solving equations.
|
|
Property (a, b and c are real numbers, variables or algebraic expressions) |
Examples |
Verbal hints |
1. |
Distributive Property
a • (b + c) = a • b + a • c |
3 • (4 + 5) = 3 • 4 + 3 • 5 |
"multiplication distributes across addition"
|
2. |
Commutative Property of Addition
a + b = b + a |
3 + 4 = 4 + 3 |
"commute = to get up and move to a new location : switch places" |
3. |
Commutative Property of Multiplication
a • b = b • a |
3 • 4 = 4 • 3 |
"commute = to get up and move to a new location: switch places" |
4. |
Associative Property of Addition
a + (b + c) = (a + b) + c |
3 + (4 + 5) = (3 + 4) + 5 |
"regroup - elements do not physically move, they simply group with a new friend." |
5. |
Associative Property of Multiplication
a • (b • c) = (a • b) • c |
3 • (4 • 5) = (3 • 4) • 5 |
"regroup - elements do not physically move, they simply group with a new friend." |
6. |
Additive Identity Property
a + 0 = a |
4 + 0 = 4 |
"the value that returns the input unchanged" |
7. |
Multiplicative Identity Property
a • 1 = a |
4 • 1 = 4 |
"the value that returns the input unchanged" |
8. |
Additive Inverse Property
a + (-a) = 0 |
4 + (-4) = 0 |
"the value that brings you back to the identity element under addition" |
9. |
Multiplicative Inverse Property
|
|
"the value that brings you back to the identity element under multiplication" |
10. |
Zero Property of Multiplication
a • 0 = 0 |
4 • 0 = 0 |
"zero times any value is 0" |
11. |
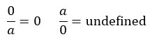
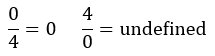
Zero Property of Division
|
|
"zero divided by any value is 0"
BUT, "any value divided by zero is undefined"
"NO DIVISION BY ZERO"
|
12. |
Closure Property of Addition
a + b is a real number |
10 + 5 = 15 (a real number) |
"the sum of any two real numbers
is another real number" |
13. |
Closure Property of Multiplication
a • b is a real number |
10 • 5 = 50 (a real number) |
"the product of any two real
numbers
is another real number" |
14. |
Addition Property of Equality
If a = b, then a + c = b + c. |
If x = 10,
then x + 3 = 10 + 3 |
"adding the same value to both sides of an equation will not change the truth value of the equation." |
15. |
Subtraction Property of Equality
If a = b, then a - c = b - c. |
If x = 10,
then x - 3 = 10 - 3 |
"subtracting the same value from both sides of an equation will not change the truth value of the equation." |
16. |
Multiplication Property of Equality
If a = b, then a • c = b • c. |
If x = 10,
then x • 3 = 10 • 3 |
"multiplying both sides of an equation by the same value will not change the truth value of the equation." |
17. |
Division Property of Equality
If a = b, then a / c = b / c, assuming c ≠ 0. |
If x = 10,
then x / 3 = 10 / 3 |
"dividing both sides of an equation by the same non-zero value will not change truth value of the equation." |
18. |
Substitution Property
If a = b, then a may be substituted for b, or conversely. |
If x = 5, and x + y = z,
then 5 + y = z. |
"a value may be substituted for its equal." |
19. |
Reflexive (or Identity) Property of Equality
a = a |
12 = 12 |
"a real number is always
equal to itself" |
20. |
Symmetric Property of Equality
If a = b, then b = a. |
|
"quantities that are equal can be read forward or backward" |
21. |
Transitive Property of Equality
If a = b and b = c,
then a = c. |
If 2a = 10 and 10 = 4b,
then 2a = 4b. |
"if two numbers are equal to the same number, then the two numbers are equal to each other" |
22. |
Law of Trichotomy
Exactly ONE of the following holds: a < b, a = b, a > b |
If 8 > 6, then 8  6 and
8 is not < 6. |
"for two real numbers a and b, a is either equal to b, greater than b, or less than b." (common sense) |