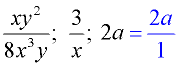
Rational numbers are denoted by a script Q.
|
|
|
|
A rational number is a number that can be expressed as a fraction p/q where p and q are integers and q ≠ 0. It is the ratio of two integers. |
You are familiar with rational numbers from your work with fractions.


|
A rational expression is an expression that is the ratio of two polynomials. 
(where P(x) and Q(x) are polynomials) |

Rational expressions are algebraic fractions in which the numerator is a polynomial and the denominator is also a polynomial (usually different from the numerator). The polynomials used in creating a rational expression may contain one term (monomial), two terms (binomial), three terms (trinomial), and so on.
Rational Expressions
(monomial/monomial) |
Rational Expression
(binomial/binomial) |
Rational Expression
(binomial/trinomial) |
|
|
|
|
Expressions that are not polynomials
cannot be used in the creation of
rational expressions. |
For example:
is not a rational expression, since
is not a polynomial.

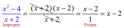
Since rational expressions represent division, we must be careful to
avoid division by zero.
If a rational expression has a variable in its denominator, we must ensure that any
value (or values) substituted for that variable will not create a zero denominator.
If it is not obvious which values will cause a division by zero error in a rational expression,
set the denominator equal to zero and solve for the variable.
Rational expression: Could it possibly
be undefined? When? |
Rational expression: Could it possibly
be undefined? When? |
|
Obviously, when x = 1, the denominator will be zero, making the expression undefined.
Domain: All Real numbers but not x = 1. |
|
Set the denominator = 0
and solve.
a2 - 4 = 0
a2 = 4
 |
For this rational expression, we must limit the x's which
may be used, to avoid a division by zero error, and
leaving the expression undefined.
Notation:  read "all x's such that x ≠ 1."
|
For this rational expression, we must prevent two
x-values from being used in the expression.
Domain: All Real numbers but not a = 2
nor a = -2.  |
Rational expression: Could it possibly
be undefined? When? |
Rational expression: Could it possibly
be undefined? When? |
|
Set: 8 - y = 0
8 = y
Domain: All Real numbers, except y = 8. |
|
Set: x2 + x - 12 = 0
(x - 3)(x + 4) = 0
x - 3 = 0; x = 3
x + 4 = 0; x = -4
Domain: All Real numbers, but not x = 3 and not x = -4. |