Practice Page
Directions: Grab your paper and pencil.

1.
Which of the following expressions cannot be further reduced?
(Check all that apply, and hit SUBMIT!)
 

simp10aa      simp10b     simp10c      simp10d      simp10e




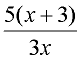
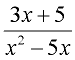
2.
What is the domain of the rational expression
simp11?
sp1
Choose:
 
x ≠ 0
x ≠ 0; x ≠ 5
  x ≠ 5 x ≠ 0; x ≠ -5



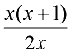
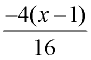
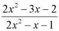
3.
Which choice is an equivalent reduced form of simp12?
sp2
Choose:
 
simp12b
simpd
simp12c simp12a



4.
Simplify and state the domain: simp13
sp5
Choose:
 
x - 3; {x | x ≠ 3}
x - 3; {x | xelement the Reals}
  x + 3; {x | x ≠ 3} x + 3; {x | xelement the Reals}



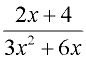
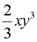
5.
Which choice is an equivalent reduced form
of simp14?
sp3
Choose:
 
simp14a
simp14b
2xy3 simp14c



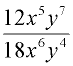
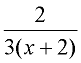
6.
Which choice is an equivalent reduced form of
simp15?
sp4
Choose:
 
simp15b
simp15a
simp15c simp15d



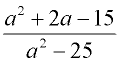
7.
Which choice is an equivalent reduced form of
simp16?
sp7
Choose:
 
simp16b
simp16a
simp16c simp16d



8.
Simplify and state the domain: simp17
sp6
Choose:
 
simp17b
simp17c
  simp17a simp17d


divider

NOTE: The re-posting of materials (in part or whole) from this site to the Internet is copyright violation
and is not considered "fair use" for educators. Please read the "Terms of Use".