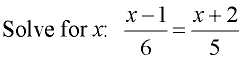
|
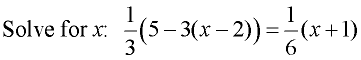
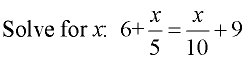
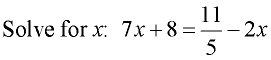
Directions: Grab your paper and pencil.
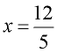
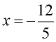
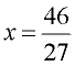
The sign holders may be telling the truth, or they may be trying to trick you!

NOTE: The re-posting of materials (in part or whole) from this site to the Internet
is copyright violation
and is not considered "fair use" for educators. Please read the "Terms of Use". |
|