|
Directions: Solve the following questions, for the indicated variable, using the quadratic formula. It is possible that some of these problems can also be solved by factoring, but for right now, we are practicing the quadratic formula.
1. |
Solve using the quadratic formula:
x2 - 2x - 24 = 0
|
|
|
|
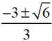
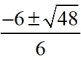
2. |
Solve using the quadratic formula:
m2 = 20 - 4m
|
|
|
|
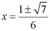
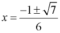
3. |
Solve using the quadratic formula:
|
|
|
|
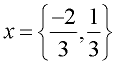
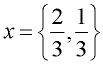
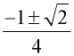
4. |
Given y = 16x2 - 8x.
Find all real values of x for which y = -1.
|
|
|
|
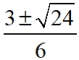
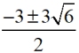
5. |
Solve using the quadratic formula:
3x (3x + 1) = 2
|
|
|
|

NOTE: The re-posting of materials (in part or whole) from this site to the Internet
is copyright violation
and is not considered "fair use" for educators. Please read the "Terms of Use". |
|