See Completing the Square for a discussion of the process.

statement
Creating a perfect square trinomial on the left side of a quadratic equation, after moving the constant to the right, is the basis of a process called completing the square.

Using Completing the Square to Solve Equations

expin1 Find the solutions for:    x2 + 14x + 24 = 0                            blacktriangle

 

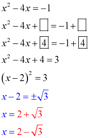
(The leading coefficient is one.) Keep the x-related variable terms on the left side. Move the constant term to the right side.

Prepare the equation to receive the added value (boxes).
Take half of the x-term's coefficient and square it. Add this value to both sides (fill the boxes).
(The x-term is also called the "linear" term.)

Combine terms on the right.

Factor the perfect square trinomial on the left side.

Take the square root of both sides. Be sure to consider "plus and minus", as we need two answers.

Solve for x. Clearly indicate your answers.

Prepare a check of the answers.
(-2)2 +14(-2) = -24 check
(-12)2 + 14(-12) = 24 check



expin1 Find the solutions for:    x2 - 4x - 32 = 0                                blacktriangle


Get the x-related terms on the same side (move 4x). Move constant term to the right.
The leading coefficient is 1.

Prepare the equation to receive the added value (boxes).
Take half of the x-term's coefficient and square it. Add this value to both sides (fill the boxes). Combine like terms.

Factor the perfect square trinomial on the left side.

Take the square root of both sides. Be sure to consider "plus and minus".

Solve for x. Clearly indicate your answers.

Prepare a check of the answers.
(8)2 - 4(8) = 32 check
(-4)2 - 4(-4) = 32 check



expin1 Find the solutions for:    x2 = 4x -1                                       blacktriangle
complsq3

Get the x-related terms on the same side (move 4x).
The leading coefficient is 1.

Prepare the equation to receive the added value (boxes).
Take half of the x-term's coefficient and square it. Add this value to both sides (fill the boxes). Combine like terms.

Factor the perfect square trinomial on the left side.

Take the square root of both sides. Be sure to consider "plus and minus".

Solve for x. Clearly indicate your answers.

Prepare a check of the answers.
check3n



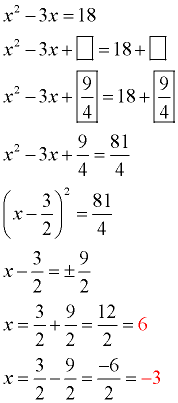
expin1 Find the solutions for:    x2 = 3x + 18
ex1left

When the coefficient in the linear term (the term containing "x") is NOT an "even" number, you will be dealing with fractions. Work carefully!
(The leading coefficient is one.) Get the x-related terms on the left side. Keep the constant term on the right side.

Prepare the equation to receive the added value (boxes).
Take half of the x-term's coefficient and square it. Add this value to both sides (fill the boxes).

Combine terms on the right.


Factor the perfect square trinomial on the left side.


Take the square root of both sides. Be sure to consider "plus and minus", as we need two answers.

Solve for x. Clearly indicate your answers.

Prepare a check of the answers.
62 - 3(6) = 18 check
(-3)2 - 3(-3) = 18 check



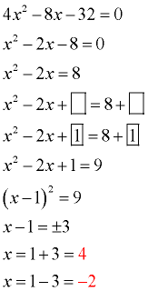
expin1 Find the solutions for:    4x2 - 8x - 32 = 0                             blacktriangle

csex2

Remember that the leading coefficient MUST be one, before starting the process of completing the square.

 

The leading coefficient is NOT 1, but it can be 1 by dividing each term in the equation by that leading coefficient (in this case, divide through by 4).

Divide all terms by 4 (the leading coefficient). In this example, 4 is the GCF of all of the terms, so "nice" integers will emerge.
[ Note: In some problems, this division process may create fractions, which is OK. Just be careful when working with the fractions.]

Move the constant to the right hand side.

Prepare the equation to receive the added value (boxes).
Take half of the x-term's coefficient and square it. Add this value to both sides (fill the boxes). Combine like terms.

Factor the perfect square trinomial on the left side.

Take the square root of both sides. Be sure to consider "plus and minus".

Solve for x. Clearly indicate your answers.

Prepare a check of the answers.
4(4)2 - 8(4) - 32 = 0 check
4(-2)2 - 8(-2) - 32 = 0 check





In future courses, you will run into quadratic equations whose solutions are not real numbers.
The process of completing the square can still be used to arrive at the complex answers to such equations. Here is an example of how that process will look.

expin1 Find the solutions for:    x2 - 5x + 7 = 0     (found in Algebra 2)

complex4

Notice that this example involves the imaginary "i", and has complex roots of the form a + bi.

Read more about imaginary values.

These answers are not "real number" solutions. They do not have a place on the x-axis.

 

(The leading coefficient is one.) Move the constant to the right hand side.

Prepare the equation to receive the added value (boxes).
Take half of the x-term's coefficient and square it. Add this value to both sides (fill the boxes).

Get a common denominator on the right.

Factor the perfect square trinomial on the left side. Combine terms on the right. bewaresmall At this point, you have a squared value on the left, equal to a negative number on the right. We know that it is not possible for a "real" number to be squared and equal a negative number.
____________________________________________

This problem involves "imaginary" numbers. If you have worked with negative values under a radical, continue.

Take the square root of both sides. Be sure to consider "plus and minus". Notice the negative under the radical.

Solve for x. remember

Prepare a check of the answers.
check3

 

bullet Completing the Square with Algebra Tiles                                            blacktriangle
Starting with x2 + 6x - 16 = 0, we rearrange x2 + 6x = 16 and attempt to complete the square on the left-hand side.
KEY: algebratileskey        See more about Algebra Tiles.
x2 + 6x = 16
Arrange the x2-tile and 6x-tiles to start forming a square. csat1
Notice how many 1-tiles are needed to complete the square.

csat2

Read the sides of the completed square.
csat3(x + 3)2 = 16 + 9

Now use the result from "completing the square" to solve the equation.

divider

NOTE: The re-posting of materials (in part or whole) from this site to the Internet is copyright violation
and is not considered "fair use" for educators. Please read the "Terms of Use".