|
Directions: Answer these questions pertaining to factorable quadratic equations. Choose the best answer. The talking number cartoons may, or may not, be helpful!
1. |
Solve for x: x2 - x - 12 = 0
|
|
|
|
4. |
Solve for m: m2 - 5 = 4m
|
|
|
|
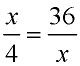
5. |
Solve for x:
|
|
|
|
6. |
Which of the following choices is a quadratic equation whose roots are 3 and -6?
|
|
|
7. |
The square of a number exceeds five times the number by thirty-six. Which choice represents a quadratic equation which can be solved to find the number(s)?
|
|
|
8. |
Solve for x: x(x + 3) = 2(x + 15)
|
|
|
|
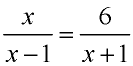
9. |
Solve for x:
|
|
|
|
10. |
Solve for a: 3a2 + 14a + 8 = 0
|
|
|
|

NOTE: The re-posting of materials (in part or whole) from this site to the Internet
is copyright violation
and is not considered "fair use" for educators. Please read the "Terms of Use". |
|