|
Directions: Questions for Parts II, III, and IV are long response questions. You will need paper, pencil, graph paper or graph grids, and a graphing calculator to work out the problems. Check your answer after solving each problem by clicking the ANSWER button. |
25. The graph shows the decreasing number of trees in a park over each decade. The initial number of trees was 1000. If the decline is modeled by
f (x) = 1000(½)x,
what was the average rate of change between decade 1 and decade 2? |
 |
|
|
26. Using the quadratic formula, solve 3x2 - 5x - 4 = 0 for all values of x. Round answers to nearest hundredths. |
|
|
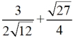
27. Randomize and simplify:  |
|
|
28. Using the function g(x) = 2x3 – 10x + 12, find the value of g(-3). |
|
|
29. Find the x-intercept(s) of the equation y = 5x2 – 25x. |
|
|
30. On a 50 point quiz, the dot plot shows the number of points scored by the students in the class. Show the relationship between the mean of the scores to the median of the scores. |
|
|
|
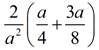
31. Combine and simplify:  |
|
|
32. Factor the expression 4x4 - 36x2 completely. |
|
|
Part III: (4 pts) You need graph paper for this section.
33. The local Tweeter Bird Seed store is running a sale on its most popular bird seed mixture.
As you buy additional bags of the seed, you get a reduction in price on the additional bags.
• The first and second bags of seed cost $20 per bag.
• The third through fifth bags of seed cost $15 per bag.
• The sixth through tenth bags of seed cost $10 per bag.
• There is a limit of 10 bags per purchase.
a) Sketch a graph to indicate this sale. Place the number of bags on the x-axis and the total cost on
the y-axis.
b) Is the average rate of change constant across the entire graph? Explain.
|
|
34. A function is defined as g(x) = -x2 – 2x + 8.
a) On the grid, sketch a graph labeling any x-intercepts and y-intercepts.
|
b) State the coordinates of the vertex, and indicate whether the vertex is a maximum or minimum point on the graph. |
|
|
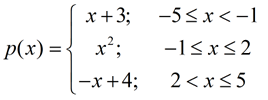
35. Given the function p(x) defined as:
|
a) Find the value of p(-2).
b) Graph the fimction. |
|
|
36. Solve by completing the square: x2 + 8x – 59 = 0
Express answers in simplest radical form.
|
|
|
Part IV: (6 pts) You need graph paper for this section.
37. Given the linear-quadratic system: y = 2x – 13 and y = x2 – 6x + 3
a) Solve this system algebraically for all values of x and y.
b) Check the solution to verify the results.
c) Graph the system and label the solution.
|
|
|
|
|