statement
To add or subtract polynomials, remove parentheses if any are present, and combine the like terms. Remember to be careful of the signs.

expin1 Add: (3x2 + 5x - 3) + (x2 - 5x + 1)

bullet
Horizontal Method:
(3x2 + 5x - 3) + (x2 - 5x + 1)

= 3x2 + 5x - 3 + x2 - 5x + 1 (remove parentheses, identify the like terms)

= 3x2 + x2 + 5x - 5x - 3 + 1 (group the like terms together)

= (3 + 1)x2 + (5 - 5)x - 3 + 1 (use the reverse distributive property - factor)

= 4x2 + 0x - 2 (add, being careful of the signs)

= 4x2 - 2 ANSWER ( it is not necessary to write the middle term "+ 0x" )

bullet
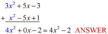
Vertical Method:
Some people prefer to use a vertical method when adding or subtracting polynomials. Line up the polynomials so that the like terms are one under the other. It may be necessary to insert a 0 place holder if a term is missing.
polyvert



bullet Algebra Tiles: Algebra tiles give you a "visual" understanding of the process of polynomial addition or subtraction.

Key: algebratileskey


Remember that red tiles represent negative values.
The same positive and negative values will cancel out.
See more about Algebra Tiles.

algebratilesadd



expin2   Add: (3x + 4x2 - 9) + (-2x2 + 10)

Horizontal Method:
(3x + 4x2 - 9) + (-2x2 + 10)

= 3x + 4x2 - 9 + -2x2 + 10

= 4x2 - 2x2 + 3x - 9 + 10

= 2x2 + 3x + 1 ANSWER

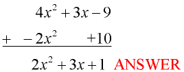
Vertical Method:
vertex2
This example shows placing the trinomial in standard form (powers listed in descending order) before adding. Notice how the terms were lined up under like terms. You could place a "0x" under the "3x", just to hold the place.


expin3   Subtract (2x2 + 4x - 6) from (x2 - 4)

When subtracting be sure to change the signs of the terms in the polynomial being subtracted!

Horizontal Method:
Notice the order of this subtraction. Just as is
done when subtracting signed numbers, change
the signs of the terms being subtracted (or
distribute
-1), and follow the rules for adding
signed like terms.

(x2 - 4) - (2x2 + 4x - 6)

arr (distribute -1)

= x2 - 4 - 2x2 - 4x + 6

= x2 - 2x2 - 4x - 4 + 6

= -x2- 4x + 2 ANSWER

Vertical Method:
Again, notice the order of the subtraction. Change the signs of the terms being subtracted, and follow the rules for adding signed like terms. In this problem, we insert 0x to hold the missing column for x.

poly3

divider

NOTE: The re-posting of materials (in part or whole) from this site to the Internet is copyright violation
and is not considered "fair use" for educators. Please read the "Terms of Use".