|
Directions: Answer these questions pertaining to polynomials. Check each answer when finished.
2. |
Which choice is equivalent to: 9x2 - 4
|
|
|
3. |
Which choice is equivalent to: (2m - 1)2
|
|
|
4. |
Multiply: (3x + 2y)(x + y)
|
|
|
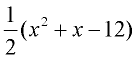
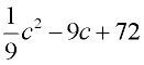
5. |
Multiply:
|
|
|
6. |
The base of a triangle is represented by (x + 4) and its height to that side is represented by (x - 3). Express the area of the triangle.
|
|
|
7. |
Find: (2x3 + y2)(2x3 - y2)
|
|
|
8. |
Find the values for a, b, and c such that:
(2x + 1)(3x - 4) = ax2 + bx + c
|
|
|
9. |
Which choice is equivalent to: (a - 3)2 - 9
|
|
|
10. |
Which choice is equivalent to: (x2 + 3)(x2 + 1)
|
|
|

NOTE: The re-posting of materials (in part or whole) from this site to the Internet
is copyright violation
and is not considered "fair use" for educators. Please read the "Terms of Use". |
|