|
NOTE: On this page, we will be taking a quick peek at division by a binomial.
These problems will be simple problems that can be solved by factoring the numerator.
A binomial is a polynomial with exactly two terms.
(Terms will be separated by an add or subtract signs.). |
The division of a polynomial by a binomial is directly related to factoring. The binomial denominator can only be reduced with another matching binomial in the numerator, implying that the numerator must be factored before the division begins.
 |
When dividing a polynomial by a binomial, FACTOR completely both the numerator and denominator (the dividend and divisor) before reducing. Reduce the greatest common factors from the numerator and denominator. |
|
The terms in a binomial cannot be separated from one another when reducing. For example, in the binomial (4x - 1), the 4x cannot be reduced by itself. You must reduce the entire expression (4x - 1). |
|
|
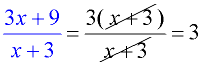
Create a fraction for the division.
Factor the numerator.
Reduce the common factor of (x + 3).
|
|
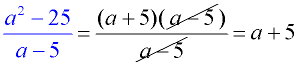
|
Create a fraction for the division.
Factor the numerator.
Reduce the common factor of (a - 5).
|
|

|
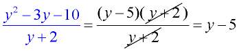
Create a fraction for the division.
Factor the numerator.
Reduce the common factor
(y + 2).
|
|
|
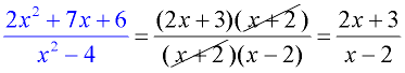
Create a fraction for the division.
Factor the numerator.
Factor the denominator.
Reduce the common factor of (x + 2).
|
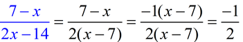
Sneaky one, coming up!!
|
|
(7 - x) and (x - 7) are "almost" the same, except that the signs of the terms are opposite one another. To create a situation that will allow for reducing, factor out -1 from one of these binomials, and then reduce. |

NOTE: The re-posting of materials (in part or whole) from this site to the Internet
is copyright violation
and is not considered "fair use" for educators. Please read the "Terms of Use". |
|