A1Side
Practice with Two-step Linear Equations
MathBitsNotebook.com

Topical Outline | Algebra 1 Outline | MathBits' Teacher Resources

Terms of Use   Contact Person: Donna Roberts

divider
Practice Page
Directions: You may need paper and pencil. Choose the correct answer.

1.
Solve for x:   2x + 6 = 18
2s1
Choose:
 
x = 6
x = -6
x = 12
x = -12



2.
Solve for a:  4a - 6 = 34
2s2
Choose:
 
a = 7
a = -7
a = 10
a = -10



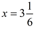
3.
Solve for x:  1.2 x - 3 = -27
2s3
Choose:
 
x = 30
x = -25
x = 20
x = -20



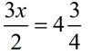
4.
Solve for m:   5(2m + 4) = 50
2s4
Choose:
 
m = 7
m = 4.4
m = 3 m = 5.4



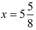
5.
Solve for x:   11
2s5
Choose:
 
x = 5
x = 45 x = 21 x = 3



6.
Solve for a:   6 + a + 3a + 4 = -10
2s6
Choose:
 
a = 0
a = 5
a = -5
a = 3.5



7.
Ten times a number, n, plus 50 is 530. What is the value of n?
2s2
Choose:
 
n = 48
n = 4.8
n = 58 n = 5.8



8.
Three times the sum of n and 4 is equal to 15. Which equation can be used to find n?
2s1
Choose:
 
3n + 4 = 15
3(n + 4) = 15
  n (3 + 4) = 15 4(n + 4) = 15



9.
Solve for x:  1.5 + 3x - 4.5 = -13.5
2s4
Choose:
 
x = -3.5
x = -7 x = -5.5 x = -6



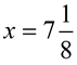
10.
Solve for x:   2s10
2s3
Choose:
 
316
2122
558 718

 


divider

NOTE: The re-posting of materials (in part or whole) from this site to the Internet is copyright violation
and is not considered "fair use" for educators. Please read the "Terms of Use".