Practice Page
Directions: Grab your paper and pencil and graph paper. 

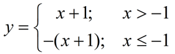
1.
Given:
pwP1a
a) Graph the function.
b) State the domain (the x-values used).

drawgraph1



2.
Write a piecewise definition in the form "y = " for the graph shown at the right.
(Indicated points have integer coordinates.)
pwPgraph2



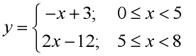
3.
Given:
pwP3
a) Graph the function.
b) State the domain (the x-values used).

c) What special name is given to this type of function?
drawgraph2



4.
Given the graph of:



a) Find f (-2).
b) Find f (3).
c) On which interval is the function increasing?
d) On what interval could the graph be described as a constant function?
e)
What is the y-intercept for this function?
f) State the domain of the entire function.
 



5.
Given the graph as shown:
a) Write an equation for this step function.
b) What is the domain of this entire function?
c) On which interval is the rate of change the greatest?
d) On what interval(s) could the graph be described as a constant function?
 



6.
Given the graph of:

newslope

a)
What is the rate of change of the graph on the interval where
x > -1?

b) What is the rate of change of the graph on the interval where
x < -1?
pwPgraph6
c) At what x-value(s) will the y-value be +3?
d) Write an equation for this graph using the absolute value notation.



7.
Given:


a) Graph the function.
b) State the domain (the x-values used).
c)
State the range (the y-values used).
d) At what x-value(s) will there be NO y-value(s)?



8.
Given the graph as shown:

a) What is the rate of change of the graph on the interval where
x < 0?

b)
What is the rate of change of the graph on the interval where
x > 0?

c)
At what point do the two rays intersect?
d) Write an equation for this graph as a piecewise function
(equation with two "pieces").
e) Write an equation for this graph using absolute value notation.


divider

NOTE: The re-posting of materials (in part or whole) from this site to the Internet is copyright violation
and is not considered "fair use" for educators. Please read the "Terms of Use".
t