|
Directions: Read carefully to determine the variable for which you are to solve.
1. |
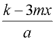
If k = am + 3mx, the value of m in terms of a, k and x can be expressed as: |
|
|
|
2. |
If ba - cd = b, which expression represents a? |
|
Choose:
|
|
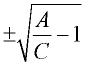
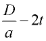
3. |
If , then t equals: |
|
|
|
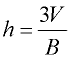
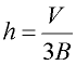
4. |
The volume of a pyramid is given by .
What is h expressed in terms of B and V ? |
|
|
|
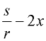
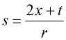
5. |
For the equation , express r in terms
of
t and w. |
|
|
|
6. |
If P = Q2•O, express O in terms of P and Q. |
|
|
|
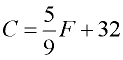
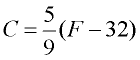
7. |
Given:  . Solve for C. |
|
|
|
8. |
A formula is expressed as D = a(2 + kt). Express k in terms of D, a and t. |
|
|
|
9. |
If A = C(1 - S2), express S in terms of A and C. |
|
|
|

NOTE: The re-posting of materials (in part or whole) from this site to the Internet
is copyright violation
and is not considered "fair use" for educators. Please read the "Terms of Use". |
|