a. 3x + 2 + 7x = 2(6x - 8) |
|
b. 3x + 7x + 2 = 2(6x - 8) |
|
c. x(3 + 7) + 2 = 2(6x - 8) |
|
d. x(10) + 2 = 2(6x - 8) |
|
e. 10x + 2 = 2(6x - 8) |
|
f. 10x + 2 = 12x - 16 |
|
g. 10x - 10x + 2 = 12x - 10x - 16 |
|
h. 0 + 2 = 12x - 10x - 16 |
|
i. 0 + 2 = x(12- 10) - 16 |
|
j. 0 + 2 = x(2) - 16 |
|
k. 0 + 2 = 2x - 16 |
|
l. 2 = 2x - 16 |
|
m. 2 + 16 = 2x - 16 + 16 |
|
n. 2 + 16 = 2x + 0 |
|
o. 2 + 16 = 2x |
|
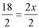
p. 18 = 2x |
|
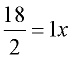
q.  |
|
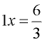
r.  |
|
s.  |
|
t. 9 = x |
|