|
Directions: These questions pertain to slopes and graphs of lines. Choose the correct answer.
1. |
Find the slope (m) and y-intercept (b) for
y = 4x - 8. |
|
|
|
2. |
What is the slope of the line shown in the graph at the right? |
 |
Choose:
|
|
3. |
What is the equation of the line shown in the graph at the right? |
|
|
|
4. |
What is the slope of the line passing
through the points
(0,-1) and (2,3)? |
|
|
|
5. |
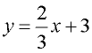
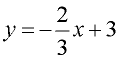
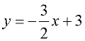
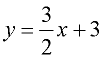
Which equation has a slope of -2 and a y-intercept
of 5? |
|
|
|
6. |
Which chart belongs with the graph at the right? |
|
|
|
7. |
Omar's garage is 10 feet above, and 100 feet back, from the road in front of his home. |
 |
a. What is the slope of his driveway?
Choose:
|
b. Which equation could be used to model Omar's driveway?
Choose:
|
c. If Omar places a pole light on the edge of the driveway at a distance of 40 horizontal feet back from the road, how far above the road will the light be placed (in feet)?
Choose:
|
|

NOTE: The re-posting of materials (in part or whole) from this site to the Internet
is copyright violation
and is not considered "fair use" for educators. Please read the "Terms of Use". |
|