|
Directions: These questions pretain to equations of lines. Choose the best answer.
1. |
Write an equation of the line that passes through the point (5,-4) and has a slope of -2. |
|
|
|
2. |
If (-1,0) is on the line whose equation is y = 2x + b, what is the value of b? |
|
Choose:
|
|
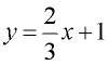
3. |
Which equation represents a line that has a slope of and passes through the point (2,1)? |
|
|
|
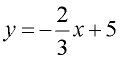
4. |
Write the equation of a line that passes through the points (3,3) and (-3,7). |
|
|
|
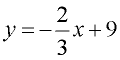
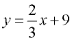
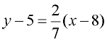
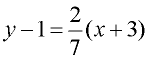
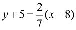
5. |
Which equation represents a line which passes through the points (8,5) and (1,3)? |
|
|
|
6. |
Which is the equation of a line passing through the points (5,-5) and (-5,-5)? |
|
|
|
7. |
Which point lies on the line whose equation is
2x - 3y = 9? |
|
|
|
8. |
The graph of the equation x + 3y = 6 intersects the y-axis at which of the following points? |
|
|
|
9. |
If the point (5,k) lies on the line represented by the equation 2x + y = 9, which choice is the value of k? |
|
|
|
10. |
Write an equation for a line passing through the point (4,a) and (-5,a). |
|
|
|

NOTE: The re-posting of materials (in part or whole) from this site to the Internet
is copyright violation
and is not considered "fair use" for educators. Please read the "Terms of Use". |
|