Directions: Solve the following inequalities for the designated variable. The students' hints may be helpful.
2. |
Solve: 3(2 + m)  15 |
|
|
|
3. |
Solve: 2(5 - x)  14
|
|
|
|
4. |
Solve: -6 x - 9  3 |
|
|
|
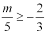
5. |
Solve:  |
|
|
|
7. |
Solve:  |
|
|
|
8. |
Solve: 3(x + 3) > 4(x - 4)
|
|
|
|
9. |
Solve:  |
|
|
|
10. |
Solve:
|
|
|
|

NOTE: The re-posting of materials (in part or whole) from this site to the Internet
is copyright violation
and is not considered "fair use" for educators. Please read the "Terms of Use". |
|