Practice Page
Directions: Grab paper and pencil. Answer the following questions pertaining to graphs of linear inequalities. Check your answers when you are finished with each question.

1.
a.) Graph:    y le x - 5
b.) Is the point (-4,3) in the solution set?
c.) Is the boundary line drawn solid or dashed? Explain.
gipic1

 


2.
a.) Graph:    y > 3x + 1
b.) Is the point (-5,-2) in the solution set?
c.) Is the boundary line drawn solid or dashed? Explain.
gipic2



3.
a.) Graph:    2y > -x - 4
b.) Is the point (0,-2) in the solution set? Explain.
gipic3



4.
a.) Graph:    -4x < 16
b.) Is the point (4,16) in the solution set?
c.) What is the slope of the boundary line?
gipic4
      



5.
a.) Graph:    4x - 3y > 9
b.) Is the point (2,-2) in the solution set?
c.) Which quadrant contains no solutions to this inequality?    
gipic5



6.
Which inequality is represented by the graph at the right?
gigraph6
       Choose:
 
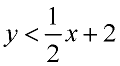
y < 2x + 2
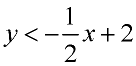
  y < -2x + 2
  gigraph6a
  gigraph6b

 


7.
Which quadrant will be completely shaded by the graph of the inequality y < 3x ?

gipic7
       Choose:
 
Quadrant I
Quadrant II
  Quadrant III Quadrant IV



8.
a.) Graph:    4(x + y) - 5(2x + y) < 6
b.) Is the point (-22,10) in the solution set?
c.) What is the slope of the boundary line?
gipic8
   



divider

NOTE: The re-posting of materials (in part or whole) from this site to the Internet is copyright violation
and is not considered "fair use" for educators. Please read the "Terms of Use".