|
Directions: Read carefully.
1. |
If the graph shown at the right is a transformation of the parent function , which choice is a possible equation for this function?
|
|
|
2. |
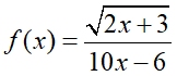
What is the domain of this function?
|
|
|
3. |
Function h(x) is a transformation of function f (x).
The function h(x) can be expressed as:
Choose:
|
 |
|
4. |
Regarding the graph at the right: 
a) Which interval is the domain?
Choose:
b) Which interval is the range?
Choose:
|
|
|
|
c) On which interval is the function positive?
Choose:
|
|
d) On which interval is the function negative?
Choose:
|
|
e) Which choice is an end behavior for this function?
Choose:
|
|
5. |
Regarding the graph at the right:
f (x) is a transformation of the square root function.
a) What is the domain of f (x)?
Choose:
b) Which interval is the range?
Choose:
|
|
|
|
c) Which of the following statements is true for f (x)?
Choose:
|
|
d) Which choice is a possible equation for f (x)?
Choose:
|
|
6. |
All transformations are to the parent square root function.
a) Which function graph represents the parent function with a vertical shift of k = 2?
b) Which function graph represents a reflection in the y-axis of a horizontal shift of k = 1?
|
|
|
c) Which function graph represents the parent function with a vertical shift of k = -3?
d) Which functions graph represents the reflection in the y-axis of the
parent function followed by a vertical shift of k = 2?
|
|
8. |
Given .
Find the maximum point of function f (x) on the interval [-10, 10]. Express as an ordered pair.
Choose:
|
 |
|
|

NOTE: The re-posting of materials (in part or whole) from this site to the Internet
is copyright violation
and is not considered "fair use" for educators. Please read the "Terms of Use". |
|
|