Directions: Answer these questions pertaining to factoring. Only completely factored answers are deemed as correct. The answers from the helpers may, or may not, be correct.
1. |
Factor completely: 2x2 - 98
|
|
|
2. |
Factor completely: 6x2 - 15x - 9
|
|
|
3. |
Factor completely: a3b - 49ab3
|
|
|
4. |
Factor completely: 4a2 + 5a - 6
Choose:
|
|
|
5. |
Factor completely: -2p3 + 4p2 + 14p
|
|
|
6. |
Factor completely: x4 - 81
|
|
|
7. |
Factor completely: (a + 2)(a + 3) + (a - 1)(a + 3)
|
|
|
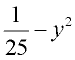
8. |
Factor completely:
|
|
|
9. |
Factor completely: 49 - 36x2y2
|
|
|
10. |
Which choice is NOT equivalent to:
x2(x + 3) + 3(x + 3)(x - 6)
|
|
|

NOTE: The re-posting of materials (in part or whole) from this site to the Internet
is copyright violation
and is not considered "fair use" for educators. Please read the "Terms of Use". |
|