statement
Fractional (rational) exponents are an alternate way to express radicals. If x is a real number and m and n are positive integers:
exfracrule
arrowsparts
The denominator of the fractional exponent becomes the index (root) of the radical. The numerator of the fractional exponent becomes the power of the value under the radical symbol OR the power of the entire radical.
Why TWO possible results?
If we apply the rules of exponents, we can see how there are two possible ways to convert an expression with a fractional exponent into an expression in radical form.
rule2
All RULES that apply to exponents, also apply to fractional exponents!

fracboxrule

bullet Convert from Exponential to Radical Form:
convert2

Remember the denominator of the fractional exponent will become the root of the radical, and the numerator will become the power.

Create the power first and then the root.

OR

Create the root first and then the power.

Either way, you will have a correct answer.

 

bullet Convert from Radical to Exponential Form:
Remember the index (root) of the radical will become the denominator of the fractional exponent, and the power will become the numerator.
Create the denominator first and then the numerator.
OR
Create the numerator first and then the denominator.
Either way, you will have a correct answer.
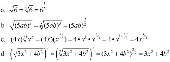
fracconvertbb
Notice in the last example, that raising a square root to a power of 2 removes the radical.
Squaring and square rooting are inverse operations. One undoes the other.





hint gal
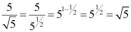
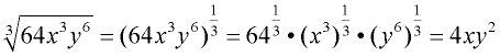
When simplifying radicals, it is often easier to find the answer by first rewriting the radical with fractional exponents. Let's see two examples:
1. exam2
2. exam3



divider

NOTE: The re-posting of materials (in part or whole) from this site to the Internet is copyright violation
and is not considered "fair use" for educators. Please read the "Terms of Use".