|
* The terminology "mindful algebraic calculation" is also referred to as "mindful manipulation" and "manipulation using structure" It is cited in the NY Next Generation Mathematics Standards. |
Mindful algebraic calculation (or manipulation using structure) is a thought process, or method of thinking, about algebra. It is looking at the "whole picture" when solving a problem. It focuses on what we know about the problem, what needs to be accomplished, and employs our understanding and knowledge of mathematics that may be associated with the solution.
In addition, it fosters being open to new ways of addressing a problem,
and experimenting with components associated with the problem.

Let's take a look at some questions dealing with expressions
that may require some creative thinking.
Remember that there may be more than one way to look at these problems,
and that only one method will be shared with you as a solution.
1. Which of the following choices will be equivalent to the
expression x + a if we are given that x = a ?
1) 1 |
2) -2a |
3) x2 |
4) 2x |
5) 0 |
|
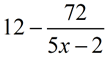
2. If the expression is equivalent to "3",
what is the value of x ?
1) - 3 |
2) -2 |
3) 2 |
4) 9 |
5) 10 |
|
3. Which of the following choices will be the value of b,
given that the expression 5a is equivalent to the expression a + 6b,
and a = 3?
1) b = 1 |
2) b = 2 |
3) b = 3 |
4) b = 2/3 |
5) b = 3/2 |
|
4. Given the expressions 2a + 3 and 8a + 12:
a) calculate the value of each
expression when a = 5.
b) what is the ratio of the larger result to the smaller result?
c) Based upon the expressions, state why this ratio exists? |
5. (2x + 5) is equal to 4 for some value of x. Without solving for x, determine the value of the expression (2x + 5)2 + 4x + 10.
|
The beauty of mathematics is the number of alternative ways
that can be employed to arrive at a solution.

NOTE: The re-posting of materials (in part or whole) from this site to the Internet
is copyright violation
and is not considered "fair use" for educators. Please read the "Terms of Use". |
|