Practice Page
Directions: Answer these questions pertaining to algebraic expressions. Check each answer when finished.

1.
Combine like terms: 5x - 3y - x + 2y
es1
Choose:
  6x - 5y 4x + y 4x - y 2x + y




2.
Simplify: 3.2x + 4.2x - 9x + 5.8x

ex3
Choose:
  22.2x 13.2x 7.4x 4.2x




3.
Write the expression 6x + 18 in factored form.

ES2
Choose:
  6(x + 18) 3(x + 6) 6(x +3) 3(2x + 3)




4.
What is the common factor in the expression:
2x(x - 3) + 3(x - 3)?


es4
Choose:
  2x 2 3 x - 3




5.
Which expression is equivalent to
3(4a + 2) - (a - 6)?


es5
Choose:
  11a + 12 13a + 12 11a + 4 11a


 

6.
Which expression is equivalent to 14x + 21?
ES6
Choose:
  2(7x + 3) 3(4x + 7) 7(2x + 3) 14(x + 2)


 

7.
Simplify: 4(x + 1) + 3(2x - 5) + 20
ex7
Choose:
  21x - 4 10x + 9 7x + 16 10x + 16


 

8.
Which expression is not equivalent to
12x + 60 ?

ex8
Choose:
  3(4x + 20) 4(3x + 15)
  12(x - 4) 12(5 + x)


 

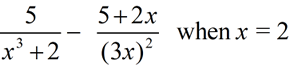
9.
Evaluate the expression fRACEX[
ES9
Choose:
  34 12 14 18




10.
It is given that (3x - 1) is equal to 5 for some value of x. Without solving for x, determine the value of the expression (3x - 1)2 + 9x - 3.

ex10
Choose:
  238 182 67 40



divider

NOTE: The re-posting of materials (in part or whole) from this site to the Internet is copyright violation
and is not considered "fair use" for educators. Please read the "Terms of Use".