|
Evaluate: x2 - 1, when x = 5. |
|
|
Replace x with 5 and simplify. |
|
|
(5)2 - 1 = 25 - 1 = 24 Answer |
|
|
|
|
Evaluate: a2b + a, when a = -3 and b = 2. |
|
|
|
Parentheses are needed in this problem.
|
|
|
(-3)2(2) + (-3) = 18 + (-3) = 15 Answer |
|
|
Do NOT write: -32(2) + (-3) as this is -9(2) + (-3) = -21
and NOT the answer. (-3)2 does not equal -32 |
|
|
Evaluate: x3 + 3x2 - 2x - 5, when x = -4. |
|
|
Again, use parentheses to avoid errors. |
|
|
(-4)3 + 3(-4)2 - 2(-4) - 5 = -64 + 48 + 8 - 5 = -13 Answer |
|
|
|
|
Evaluate: 4p2 - 2p + 12, when p = -1½. |
|
|
Again, use parentheses to avoid errors.
|
|
|
4(-1½)2 - 2(-1½) + 12 = 4(2¼) + 3 + 12 = 9 + 3 + 12
= 24 Answer
|
|
|
|
 |
 |
|
|
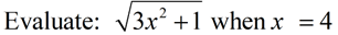
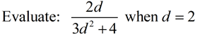
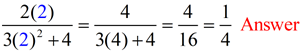
Use parentheses to avoid errors. |
|
|
 |
|
|
|
 |
 |
|
|
Use parentheses to avoid errors. |
|
|
 |

It may be the case that you will be asked to evaluate an expression using "another expression".
Don't panic!!! Just follow the same process as you did when evaluating for a number.
Remember to use parentheses!
|
|
Evaluate: x2 + 2x - 4, when x = 2a. |
|
|
Remember to use parentheses! |
|
|
(2a)2 + 2(2a) - 4 = 4a2 + 4a - 4 Answer |
|
|
|
|
Evaluate: 3x + 10 when x = 3m + 15 |
|
|
Remember to use parentheses! |
|
|
3(3m + 15) + 10 = 9m + 45 + 10 = 9m + 55 Answer |
|
|
|
 |
Evaluate: 9 - 2x when x = y2 - 4 |
|
|
Remember to use parentheses! |
|
|
9 - 2(y2 - 4) = 9 - 2y2 + 8 = 17 - 2y2 Answer |