"Expressions" that represent the same value may appear in several different forms,
referred to as equivalent expressions.

An easy example of equivalent expressions can be found with the Distributive Property:equivpic
The Distributive Property ensures that 3(x + 2) and 3x + 6 are equivalent expressions.
To double check, we substituted the number 5 into each expression and got the result 21 from both.

You can determine that expressions are equivalent:

• algebraically:
by showing, through algebraic computations, that both expressions can be represented as the same expression.
    - remove parentheses
    - combine similar terms
    - arrange terms from both
           expressions in the same order
    - keep working until both
           expressions are exactly the same
• numerically:
by showing, through numerical substitution, that the same number(s) replacing the variable(s) in both expressions yield the same numeric results.
    - substitute the same number(s) for each
           variable in each expression
    - compute the numerical results of each            expression
    - the numerical results will be the same           for both expressions
NOTE: Avoid choosing the number 0 for substituting.

When looking for equivalent expressions, you may notice that one of the expressions may appear already expanded and simplified, such as 3x + 6, while the other is in a form that can be expanded and simplied further, such as 3(x + 2). If this is the case, start work on the expression that can be simplified further. If both expressions need further work, it makes no difference where you start.

dash

hint gal
When determining equivalent expressions,
take your time and LOOK CAREFULLY!
Some expressions may not LOOK equivalent at first glance,
but upon further examination will be equivalent.

dash

expin1
Are these expressions equivalent?
    7x + 2x and
14x

(Let x = 3)
First expression:
Second expression:
Numerical check:
7(3) + 2(3) = 27
14(3) = 42
27 ≠ 42
Algebraic check:
7x + 2x = 9x
14x
9x ≠ 14x
Answer:
NO

dash

expin2
Are these expressions equivalent?
    18x + 27 and 9(2x + 3)
(Let x = 3)
First expression:

Second expression:
Numerical check
18(3) + 27 = 81
9(2(3)+3) = 81
CHECK
Algebraic check:
18x +27
9(2x + 3) = 18x + 27
Distributive Property

CHECK
Answer:
YES

In this example, the Distributive Property shows that expanding the right side, 9(2x + 3),
give us the left side, 18x + 27. You could also have worked the Distributive Property in reverse on the left side.

dash

expin3
Are these expressions equivalent?
    6(3x) and
9x

(Let x = 3)
First expression:

Second expression:
Numerical check
6(3(3)) = 54
9(3) = 27
54 ≠ 27
Algebraic check:
6(3x) = 18x
9x
18x   9x
Answer:
NO

dash

expin4

Which of the following expressions is equivalent to
6x - 5 for all values of x?

1) 3(2x - 5)

3(2x + 5) = 6x + 15 which is not the same as 6x - 5.
2) 3(2x - 1) + 2

3(2x - 1) + 2 = 6x - 3 + 2 = 6x - 1 which is not the same as 6x - 5.
3) 6(x - 5)

6(x - 5) = 6x - 30 which is not the same as 6x - 5.
4) 6(x - 1) + 1
ANSWER
6(x - 1) + 1 = 6x - 6 + 1 = 6x - 5 which is equivalent to 6x - 5.

dash

expin5
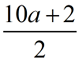
Which of the following expressions is equivalent to
exp?

1) 2(5a +1)
ANSWER

exp5
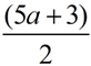
2) exp4

exp6
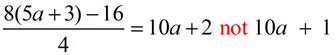
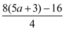
3) 10a + 1


4xp7
4) exp8

exp9


divider

NOTE: The re-posting of materials (in part or whole) from this site to the Internet is copyright violation
and is not considered "fair use" for educators. Please read the "Terms of Use".